Which Best Illustrates Nonjudgmental Acceptance by the Nurse
The nurse wants to show nonjudgmental acceptance and support for the patient. Top 1Jovie Ann Alawas Decoyna Baguio Central University 8900 Top 2John Patrick Morales Dimarucot Central Luzon Doctorss Hospital Educational Institute 8840 Top 3Gian.
Pdf Social Nurses Descriptions Of Nursing A Qualitative Study Of What Social Nursing Is And Does
Which of the following best illustrates nonjudgmental acceptance by the nurse.
. Rather it is a nonjudgmental attitude about the patient as a whole person. Suggesting that the patient can continue her activities. The nurse wants to show nonjudgmental acceptance and support for the patient.
However mindfulness is not meditation. Select the nurses most effective action. Which of the following best illustrates nonjudgmental acceptance by the nurse.
Which of the following illustrates the focus of the nurses interaction during the working phase of the. Acceptance does not mean approval or agreement. Avoiding all negative feelings about the patient c.
Asked Sep 27 2015 in. A nurse comments in private about a patient. Select the nurses most effective action.
Which of the following best illustrates nonjudgmental acceptance by the nurse. 12 Victims can be any sex gender nationality and race. Asked Oct 31 2015 in Nursing by Brittany.
Openness or nonjudgmental acceptance which is a building block of mindfulness can also include a meditation component. The healing power of insight and self-awareness is LEAST likely to be emphasized by A cognitive therapies. I dont know how she can continue to do this.
3 For many an opportunity to seek help comes when they see a healthcare. Asked Sep 27 2015 in. Asked Oct 31 2015 in Nursing by Brittany.
Demonstrating caring behavior in spite of negative feelings d. Select the nurses most effective action. The nurse wants to show nonjudgmental acceptance and support for the patient.
The goal is to make the patient feel com-fortable and legitimize his or her feelings. That lady with six kids is pregnant again. Which of the following best illustrates nonjudgmental acceptance by the nurse.
Convey nonjudgmental acceptance with a willingness to hear a message or to acknowledge feelings. Asked Oct 31 2015 in Nursing by Brittany. Which of the following best illustrates nonjudgmental acceptance by the nurse.
1Using your professional influence to change a patients morality 2Changing your assignment if you discover that you have negative feelings toward your patients lifestyle 3Demonstrating caring behavior in spite of negative feeling. The best response by a nurse peer is to. Reflects the values and self-identified main concerns of each client and improves the persons engagement and participation in the treatment and recovery plan.
Conveying acceptance of the patient and a nonjudgmental attitude d. C unconditional positive regard. Asked Sep 27 2015 in.
Which of the following best illustrates nonjudgmental acceptance by the nurse. View Notes - Test 2 Review for Finaldocx from NURS 2300 N2300 at University of Texas Arlington. While modern slavery includes sex trafficking as well as domestic industrial and farm labor in the US 75 to 85 of victims are involved in the sex trade.
Which of the following best illustrates nonjudgmental acceptance by the nurse. Congratulations to the Top 10 Passers Topnotchers of the recently concluded Nursing Board Exam Results Nursing Licensure Examination Results for November 2008. Asked Sep 27 2015 in.
The professional nurse can best be said to be engaging in collaboration with others to develop the clients plan of care when the nurse. Empowers clients promoting autonomy rights voice and self-determination in the treatment planning and recovery process. The nurse wants to show nonjudgmental acceptance and support for the patient.
Conveying acceptance of the patient and a nonjudgmental attitude. Asked Oct 31 2015 in Nursing by Brittany. C unconditional positive regard.
Human trafficking is a widespread form of slavery that exists today even in the US. Carl Rogers referred to a caring nonjudgmental attitude as A active listening. Using professional influence to change a patients morality to be more in keeping with societal norms b.
The best response by a. Which of the following best illustrates nonjudgmental acceptance by the nurse. Asked Sep 27 2015 in.
Its hard to be nonjudgmental all the time. It makes me sick to see these people on welfare taking away from our tax dollars. Which nursing theorist is best known for her emphasis on inferences based on observation of patient behavior confirmation by the patient and results in effective care based on identified.
Which is true about factors that influence socialization professional formation to. Each patient requires respect and acceptance as a unique human being. Which of the following best illustrates nonjudgmental acceptance by the nurse.
Considers the clients social physical. We automatically make judgments about people from the minute we first see or meet them based on appearance behavior and what they say. Ing and coping with changes requiring the nurse to be nonjudgmental.
Select the nurses most effective action. - establishing priorities and communicating them to the patient in a clear nonjudgmental way is important. Later demonstrates acceptance of the patients behavior yet helps the nurse complete the admission interview in a timely manner.
Meditation is to reflect and contemplate or empty the mind to concentrate on a single object Massion Herbert Weheimer Kabat-Zinn 1995. Asked Oct 31 2015 in Nursing by Brittany. The nurse wants to show nonjudgmental acceptance and support for the patient.
Sharing personal information to indicate openness c. Nonjudgmental listening isnt about avoiding those judgments its about making sure that you dont express those negative judgments because that can get in. Select the nurses most effective action.
Consort Diagram Flow Chart Of Undergraduate Nursing Students And Nurse Download Scientific Diagram
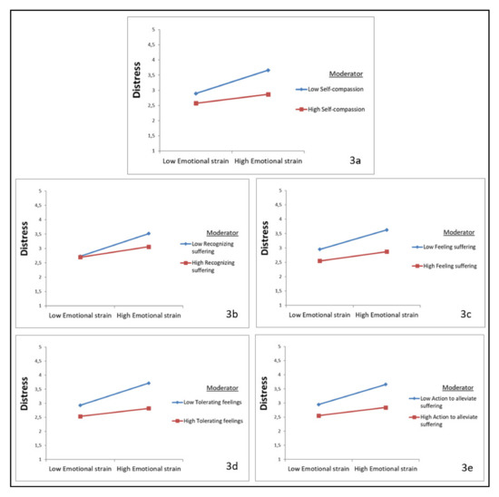
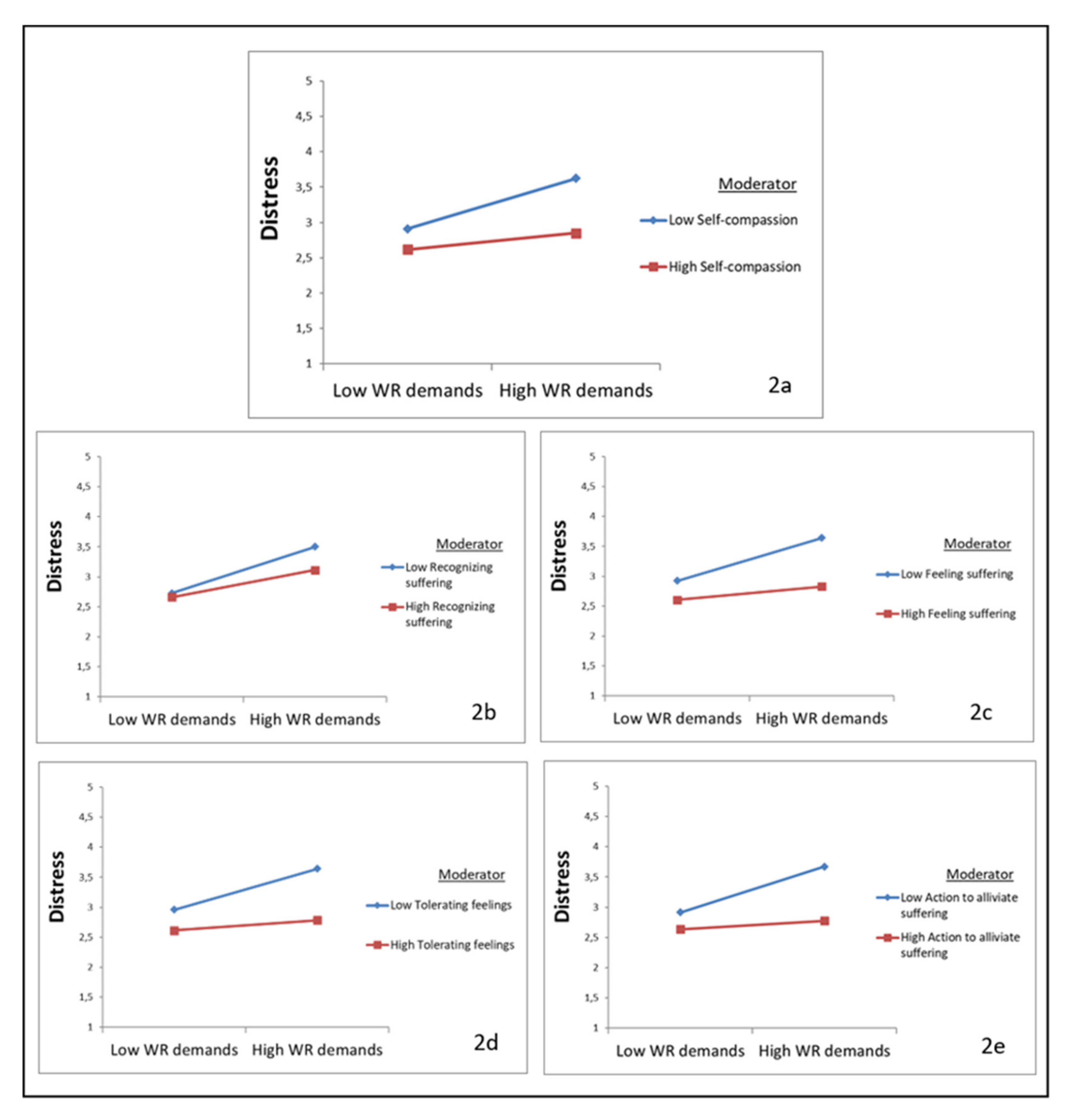
Ijerph Free Full Text The Role Of Self Compassion In The Job Demands Resources Model An Explorative Study Among Crisis Line Volunteers Html
Learn All About Narrative Therapy In These Easy To Follow Articles There Are Also Exercises You Writing Therapy Solution Focused Therapy Clinical Social Work
Pdf Responding To Difficult Nurse Patient Encounters
Care A Framework For Responding Therapeutically To The Client Who Self Harms Shepperd 2003 Journal Of Psychiatric And Mental Health Nursing Wiley Online Library
Ijerph Free Full Text The Role Of Self Compassion In The Job Demands Resources Model An Explorative Study Among Crisis Line Volunteers Html
Ijerph Free Full Text The Role Of Self Compassion In The Job Demands Resources Model An Explorative Study Among Crisis Line Volunteers Html
Classifying General And Specialist Children S Nursing Competencies Gibson 2003 Journal Of Advanced Nursing Wiley Online Library
Interview Questions For Nursing Students Download Table
Responding To The Pandemic From The Heart Mindful
Pdf Nurse Navigator Core Competencies An Update To Reflect The Evolution Of The Role
Ijerph Free Full Text The Role Of Self Compassion In The Job Demands Resources Model An Explorative Study Among Crisis Line Volunteers Html
Ijerph Free Full Text The Role Of Self Compassion In The Job Demands Resources Model An Explorative Study Among Crisis Line Volunteers Html
Communication In Nurse Patient Interaction In Healthcare Settings In Sub Saharan Africa A Scoping Review Sciencedirect
The Role Of Directors Of Nursing In Cultivating Nurse Empowerment Director Of Nursing Nurse Leader Nursing Leadership

Comments
Post a Comment